微信的更新是非常频繁的,正在测试的安卓6.5版本,更新了以下功能:
-多人通话:三五好友随时语音和视频通话
-群公告:微信群群主可以发群公告
-群主转让:可将群主转让给群内成员
-表情:投稿表情里可以给艺术家发红包
(其实关于群公告、群成员管理,在微信内测6.2.4里就有了,但正式版粗来又被拿下了,不知道此次内测过后正式版是否保留此项功能,但从目前的内测呼声来看,保留概率较大。)
H5页面获取设备信息接口对所有商户开放。
微信摇一摇周边开放“H5页面获取周边设备信息接口”,商家可自定义开发HTML5页面,获取周边设备信息,实现定位、导航、近场感知等功能,帮助商家打造更多基于iBeacon的新鲜玩法。
这个公告,我们该怎么理解,该怎么玩,从中可以挖掘哪些商业价值。
“H5页面获取周边设备信息接口”,通俗的理解为:开发的网页,可以在微信环境下,打开后,手机打开蓝牙的时候,可以直接感知到周围的beacon蓝牙信号,就是说不用通过微信摇一摇周边,只通过H5页面也可以收到iBeacon里储存的信息帧,实现打开设置好的微信摇周边的自定义页面和模版页面。
作为一个微信从业者,不禁要问"微信,what are you 弄啥嘞",开放这个东东。

![]()
笔者就带你感受下这个功能的逆天和强大。
利用蓝牙室内导航
室内导航是让置身于大型百货商场里的消费者,即使在建筑物内,仍能利用精确的定位功能确定自己的位置并找到想去的地方。可以使用室内导航轻松找到一些大型建筑的指定场所,如卫生间, ATM和指定商家 等。但是想实现室内导航,用GPS是做不到的,精确度达不到,只能基于近场蓝牙技术,通过Beacon来非常精确的实现。

![]()
上图就是一个室内导航,用四个Beacon即可实现精确的室内定位。手机实现室内导航,去哪儿一眼就可以看到。更逆天的是,这个东西可以绑定到自定义菜单上,这为做本地商城、本地生活的一些公众号提供了更好的玩法,就是把H5页面设置到微信公众号自定义菜单里,实现获得beacon蓝牙信号,为毛要这样,估计微信当天的摇一摇习惯没培养起来,多管齐下,推近场蓝牙技术,实现更好的近场互动营销。


![]()
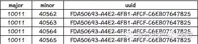
对了,还要配置四个Beacon,智石的Beacon四个,配置以下ID

![]()
配置好了,就来体验室内定位的神奇吧,这个太逆天了。